Оценка погрешностей измерения толщин многослойных пленочных покрытий…
ISSN 0236-3933. Вестник МГТУ им. Н.Э. Баумана. Сер. Приборостроение. 2017. № 3
9
В соответствии с представленными экспериментальными данными можно
сделать следующие выводы.
1. Среднеквадратическое отклонение коэффициента отражения увеличива-
ется с уменьшением времени экспонирования и снижается с уменьшением ко-
эффициента отражения.
2. Математическое ожидание регистрируемого коэффициента отражения
смещено относительно теоретической зависимости и незначительно изменяется
в зависимости от времени экспонирования. Это можно объяснить тем, что ис-
пользуемый метод калибровки измерительной установки не учитывает нели-
нейные отклонения чувствительности приемника излучения [7].
Для больших значений коэффициентов отражения плотность распределе-
ния вероятности коэффициента отражения имеет вид нормального, в то время
как для малых значений заметны отклонения от нормального распределения,
вызванные влиянием шума квантования.
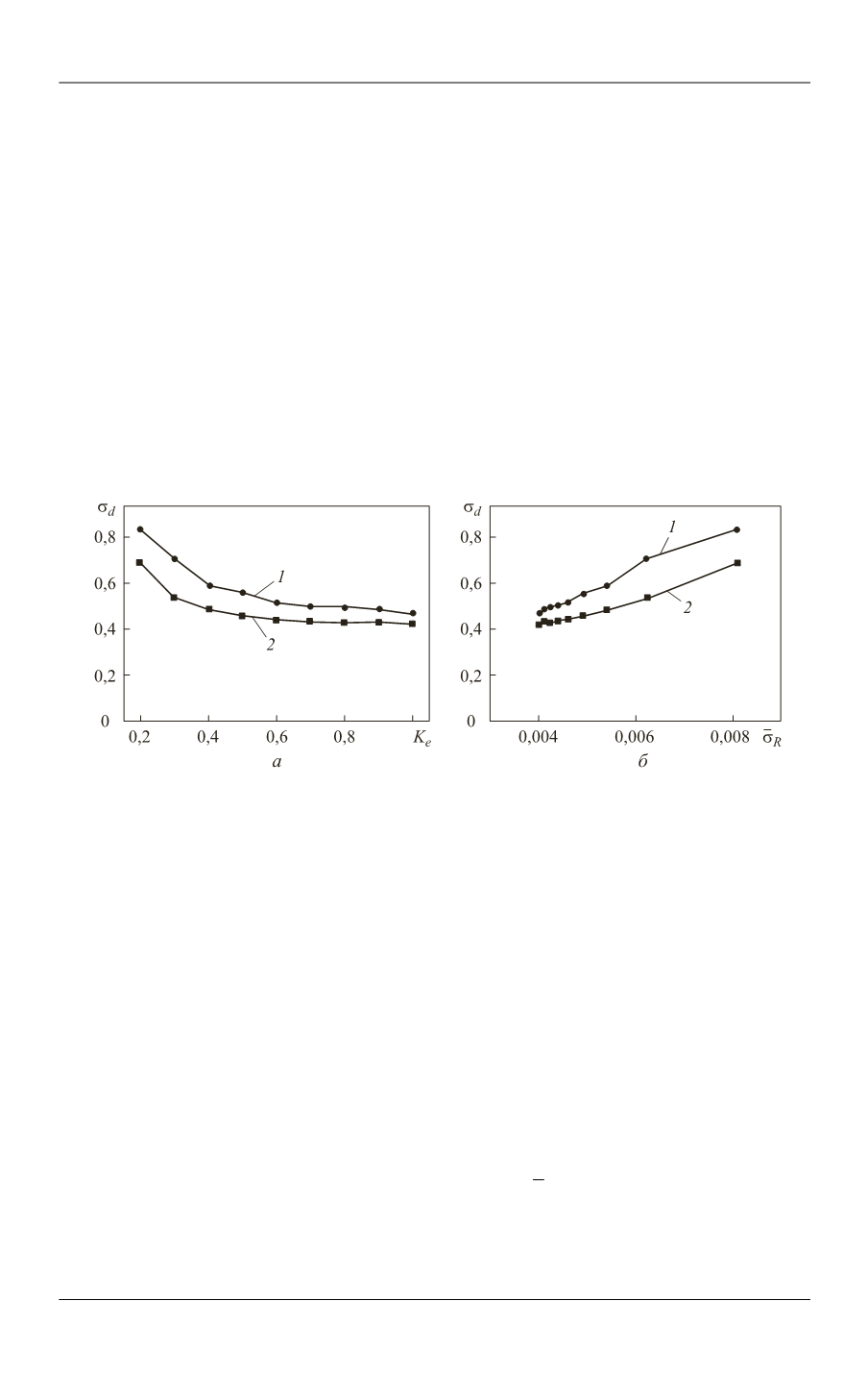
Рис. 3.
Зависимости среднего значения среднеквадратического отклонения случайной
погрешности определения толщины пленки (
1
) и его теоретическая оценка (
2
), полученная с
помощью линеаризованной модели регрессии с использованием формул, приведенных
выше, от коэффициента экспонирования (
а
) и от среднего среднеквадратического откло-
нения коэффициента отражения (
б
)
Зависимости среднего значения среднеквадратического отклонения слу-
чайной погрешности определения толщины пленки и его теоретическая оценка,
полученная с помощью линеаризованной модели регрессии с использованием
формул, приведенных выше, от коэффициента экспонирования и от среднего
среднеквадратического отклонения коэффициента отражения приведены на
рис. 3. Чтобы показать характер зависимости среднеквадратического отклоне-
ния погрешности измерения толщины от среднеквадратического отклонения
шума измеряемого коэффициента отражения было введено среднее среднеквад-
ратическое отклонение коэффициента отражения
1
( ).
N
R
R j
j
=
σ = σ λ
Полученные зависимости иллюстрируют, что линеаризованная модель по-
зволяет с достаточно высокой точностью оценить случайную погрешность из-




